borang nikah wali hakim
Dan janganlah kamu kahwinkan perempuan-perempuan kamu dengan lelaki musyrik kafir hingga meereka beriman. 1 Salinan Borang Permohonan lelaki dan perempuan untuk berkahwin Borang 1 yang telah disokong oleh Pendaftar Nikah Pejabat Agama Jajahan 6.
Panduan Mengisi Borang Izin Dan Wakalah Wali Enakmen
Dalil-dalil yang menunjukkan amat mustahaknya wali ialah.
. Cetak borang berdasarkan senarai semak. Borang Pengesahan Tempat Tinggal. Laporan Pejabat Agama Islam 1 Asal 1 Salinan 8.
Download borang nikah 2d selangor. 11 Perkara Penting Dalam Membuat Permohonan Kebenaran Nikah. 8 Sebab Dilarang Menjadi Wali NIkah.
Kalau wali-wali itu enggan maka Sultan atau hakim menjadi wali bagi perempuan yang tidak mempunyai wali. Nikah Cerai Ruju. Tidak ada nikah melainkan dengan adanya wali.
Borang Kebenaran Bernikah Untuk Pengantin Perempuan. Borang 1a wakalah akad nikah. Borang Permohonan Salinan Sijil Kursus Pra Perkahwinan Islam Hilang Rosak 9.
Wali hakim atau wali am yang sah cuma yang dilantik oleh pihak berkuasa Pejabat Agama atau Mahkamah Syariah di tempat nikah saja. Riwayat Abu Daud dan At-Tirmizi PROSEDUR PENDAFTARAN. Borang Wali Hakim Tiada Wali Nasab SENARAI SEMAK PENDAFTARAN KES MAL BIL DOKUMEN TANDAKAN SEMAKAN MAHKAMAH 1.
1 Salinan bukti carian alamat wali di Jabatan Pendaftaran Negara JPN 8. Syarat-Syarat Menjadi Wali Nikah Dalam Islam. - Permohonan berkahwin secara wali hakim wali raja dengan mengisi borang yang dimuat turun di sini.
Kalau buat begitu nikah siri tu tak sah sebab wali nikah tu tak sah. Perakuan Nikah Ruju Cerai Ibu Bapa Pemohon- 1 salinan 6Sijil Kematian Wali - 1 salinan. Wali ghaib anak tak sah taraf saudara muslim yang tiada wali nasab dan pemohon yang tiada.
Kursus ni adalah bagi kedua bakal pengantin lelaki perempuan. Mahkamah syariah negeri melaka senarai semak permohonan wali hakim no. 2 Salinan Surat Perakuan Cerai Sijil Kematian Perintah Mahkamah jika berkaitan 7.
Borang Permohonan Kad Perakuan Nikah. 2 Salinan Kad Pengenalan Wali. 11 Permohonan Poligami - Rujuk ke Mahkamah Syariah.
Apa prosedur nikah di selangor. 2 set borang keizinan kawin 2 set borang untuk pasangan lelaki perempuan. Borang 1c persetujuan wali perempuan.
Diriwayatkan pada sebuah hadits Rasulullah SAW bersabda. Ingat ya proses kelulusan bagi permohonan perempuan hanya diberikan selepas permohonan kebenaran nikah lelaki diluluskan. 2 Salinan dokumen-dokumen sokongan yang berkaitan.
Assalamualaikum nak tanye Saksi dalam Borang 2D Persetujuan Wali dan Wakalah Wali tu perlu jadi saksi nikah sekali x. - Pemohon - 2 salinan. 1 Salinan Sijil Cerai Sijil Kematian suami terdahulu jika berkaitan 7.
Borang Permohonan Kad Perakuan Nikah. 1Anda boleh mula sediakan dokumen-dokumen penting untuk permohonan anda dalam masa 3-4 bulan dari tarikh akad nikah yang anda. Surat kebenaran dari kedutaan negara pemohon.
Isi Lengkapkan Borang Nikah Pengantin Lelaki. Borang Permohonan Berkahwin Bawah Umur atau Wali Hakim. Borang Permohonan Salinan Sijil Kursus Pra Perkahwinan Islam Hilang Rosak 9.
Borang Dokumen Sokongan Yang Diperlukan Untuk Daftar Nikah. Sijil Kematian Wali - 1 salinan. Sebagaimana kita ketahui bahwa wali hakim merupakan petugas KUA dan.
Bagi warganegara asing wanita kehadiran wali adalah penting semasa mendapatkan kebenaran berkahwin dan sekiranya tiada wali secara langsung surat pengesahan wakalah wali daripada pihak berkuasa agama. Jika wali anda tidak dapat hadir isi borang wakalah wali. Wali boleh tanda tangan dari rumah.
Kedudukan wali hakim sangat penting dalam pernikahan. Sila lengkapkan borang dengan huruf besar. 233 2060 231 3913fax cawangan alor gajah 1797 556 1837fax jasin 5721 529 5758fax.
Jika wali anda tidak dapat hadir isi borang wakalah wali. 1102 Dari sini bisa kita ketahui bahwa wali hakim tidaklah boleh menikahkan seorang wanita sementara wali wanita tersebut masih ada. Wali ini merupakan salah satu rukun dalam perkahwinan.
Borang Wakalah Wali Kelantan Pdf. Borang Permohonan Berkahwin Bawah Umur atau Wali Hakim. Apabila para wali berselisih tidak mau menikahkan maka sulthan hakim adalah wali bagi orang yang tidak memiliki wali HR.
Yang sudah di approved tadi hantar ke pegawai pendaftar nikah kat masjid area kaurang untuk. Borang Tertib Susunan Wali. Salinan Kad Pengenalan.
Isi borang dengan jelas dan cermat menggunakan PEN MATA BERWARNA HITAM. Borang Tertib Susunan Wali. Mudahkah Prosedur Nikah Menggunakan Wali Hakim.
Borang Maklumat 2 salinan - dilengkapkan Afidavit 2 salinan - ditaip semula. BORANG MS 27 ENAKMEN TATACARA MAL MAHKAMAH SYARIAH NEGERI. - Wali hakim hanya terhad kepada kategori berikut iaitu.
Wali Hakim Wali Raja. Maksudnya perlu org yg sama x. Akan menjadi sungguh-sungguh iaitu nikah talak dan rujuk.
Borang Pengesahan Tandatangan Wali. Pasangan yang ingin melangsungkan pernikahan mestilah melakukan permohonan dan mendapatkan kebenaran berkahwin melalui Pejabat Agama Islam Daerah PAID di negeri masing-masing. Permohonan Kebenaran Berkahwin Online.
Borang Pengesahan Tempat Tinggal. Bakal suami - 2 salinan. Borang Nikah Selangor Perempuan 2019.
2 set borang permohonankebenaran menikah 2 Set borang untuk pasangan lelaki perempuan Setiap borang boleh difotostat satu 1 salinan. 2 Borang Pengesahan Tandatangan Wali alt. Wanita mana saja yang menikahkan tanpa seizin walinya maka nikahnya batal nikahnya batal nikahnya batal apabila telah terjadi hubungan suami istri maka laki-laki itu wajib membayar mahar atas sikapnya yang telah menghalalkan.
Dari Abi Musa ra. Borang yang tidak diisi dengan penjelasan tentang keadaan yang dihadapi dan tidak mengandungi apa-apa pertanyaan tidak akan dibalas. Menurut Jumhur Fuqaha Syafie Maliki dan Hambali apabila wali aqrab enggan menikahkan pengantin perempuan maka wali hakimlah yang menikahkannya.
Oleh itu untuk mengelakkan anda turut berada dalam situasi yang sama mohon anda fahami dan laksanakan perkara-perkara penting seperti di bawah. Borang Pengesahan Tandatangan Wali. Pastikan Mukim Pasangan Anda.
Wali Nikah Dalam Islam. Borang Permohonan Kad Perakuan Nikah. Perakuan Nikah Ruju Cerai Ibu Bapa Pemohon- 1 salinan.
Checklist For Nikah Application Selangor Jais Nikah Checklist Wedding Prep. Elok la mcm tu xde lah org memperlekehkan institusi perkahwinan Islam kat Malaysia. Borang 1b pengesahan status perkahwinan pemohon.
Sijil Lahir Pemohon -1 salinan.
Life Without A Soul Wali Hakim Bagi Mualaf Kota Kinabalu Sabah
Borang Wali Hakim Tiada Wali Nasab
Carta Aliran Kes Laman Web Rasmi Jabatan Kehakiman Syariah Negeri Johor
Pengajuan Permohonan Wali Hakim Kementerian Agama Republik Indonesia Kantor Kota Denpasar
Ini Checklist Serta Prosedur Nikah Pkp Buat Bakal Pengantin Lelaki Perempuan Trp
Permohonan Kebenaran Berkahwin Negeri Selangor
Peguam Syarie Asma Jamaludin 25 1 2021 Kes Pertama Dlm Tempoh Pkp Fahamilah Bahawa Tidak Sah Sesuatu Pernikahan Itu Sekiranya Rukun2 Nikah Tidak Dipenuhi Tau X Apa Rukun2 Nikah 1 Pengantin Lelaki 2 Pengantin
Permohonan Wali Hakim Mahkamah Syariah Negeri Melaka Senarai Semak Permohonan Wali Hakim Studocu
Permohonan Kebenaran Berkahwin Negeri Selangor
Borang Wali Hakim Tiada Wali Nasab
Cara Dan Proses Permohonan Nikah Bagi Negeri Kedah
Borang Permohonan Berkahwin Bawah Umur Atau Wali Hakim Dicetak Menggunakan Kertas A4 Berwarna Putih Pdf
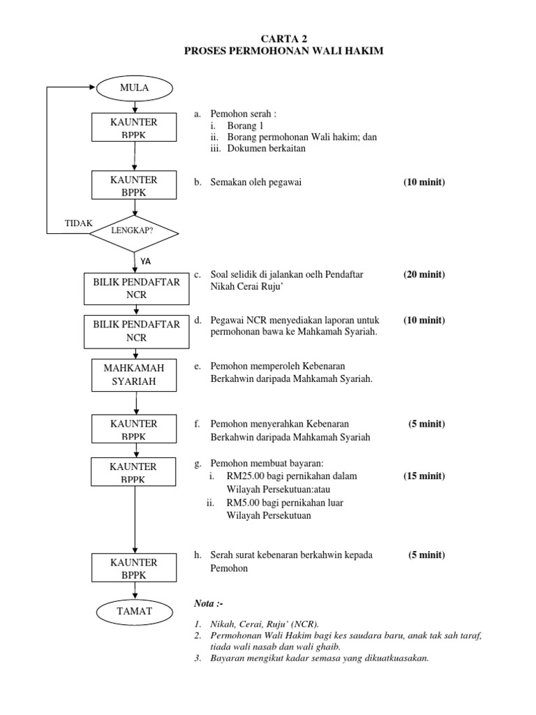
Carta 2 Proses An Wali Hakim Pdf
Borang Wali Hakim Tiada Wali Nasab
Permohonan Wali Hakim Mahkamah Syariah Negeri Melaka Senarai Semak Permohonan Wali Hakim Studocu


No comments for "borang nikah wali hakim"
Post a Comment